ホーム > 統計情報・白書 > 各種統計調査 > 厚生労働統計一覧 > 雇用の構造に関する実態調査(就業形態の多様化に関する総合実態調査) > 調査の概要
雇用の構造に関する実態調査(就業形態の多様化に関する総合実態調査):調査の概要
調査の概要(令和6年調査の内容を記載しています。)
調査の目的
正社員及び正社員以外の労働者のそれぞれの就業形態について、事業所側、労働者側の双方から意識的な面を含めて把握することで、多様な就業形態に関する諸問題に的確に対応した雇用政策の推進等に資することを目的とする。
調査の沿革
この調査は、その時々の雇用情勢に応じ、毎年テーマ(対象)を替えて実施している雇用の構造に関する実態調査として、平成6年に最初の調査を実施し、その後、不定期に実施しています(平成11年、平成15年、平成19年、平成22年、平成26年、令和元年、令和6年)。
調査の根拠法令
統計法に基づく一般統計調査
調査の対象
- (1)調査対象の範囲
- ア 地域
全国 - イ 産業
日本標準産業分類(平成25年10月改定)に基づく次の16大産業 「鉱業,採石業,砂利採取業」、「建設業」、「製造業」、「電気・ガス・熱供給・水道業」、「情報通信業」、「運輸業,郵便業」、「卸売業,小売業」、「金融業,保険業」、「不動産業,物品賃貸業」、「学術研究,専門・技術サービス業」、「宿泊業,飲食サービス業」、「生活関連サービス業,娯楽業(その他の生活関連サービス業のうち家事サービス業を除く。)」、「教育,学習支援業」、「医療,福祉」、「複合サービス事業」、「サービス業(他に分類されないもの)(外国公務を除く。)」 - ウ 事業所及び労働者
上記に掲げる産業に属する5人以上の常用労働者を雇用する事業所及び当該事業所で就業している労働者 - (2)調査客体
- ア 事業所調査
上記の範囲に属する事業所から産業、事業所規模別に無作為に抽出した事業所 - イ 個人調査
上記アの対象となる事業所に就業している労働者(令和6年10月1日時点)から事業所ごとに就業形態別に無作為に抽出した労働者 - (3)事業所母集団データベースの使用の有無
- あり(令和4年次フレーム)
- (4)重複是正措置実施の有無
- あり
- (5)母集団情報としての行政記録情報の使用の有無
- なし
抽出方法
- (1)抽出方法
- ア 事業所調査
事業所母集団データベースを母集団とし、事業所産業(19区分)、事業所規模(5区分)別に層化無作為抽出。 - イ 個人調査
上記アの対象となる事業所に就業している労働者から、就業形態(正社員、派遣労働者、パートタイム労働者、契約社員、嘱託社員、出向社員、臨時労働者、その他)別に無作為に抽出。 - (2)抽出率
- ア 事業所調査抽出率表

抽出率の分母は小数点以下を四捨五入して表示している。 - イ 個人調査抽出率表


- (3)目標精度
- ア 事業所調査
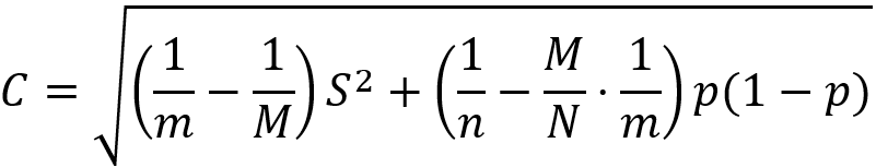
抽出する事業所数は、回収率の前提を70%とし、以下の算式を用いて、産業、事業所規模別にある属性を有する事業所割合の標準誤差が概ね3.8%以内となるように考慮し、約17,000事業所とした。上記(2)アの抽出率は、約17,000事業所を抽出するために必要な抽出率として設定したもの。


- イ 個人調査
報告者数は、事業所の回収率の前提を70%、個人票の回収率の前提を65%とし、下記の算式を用いて、産業、事業所規模、就業形態(正社員、派遣労働者、パートタイム労働者、契約社員、嘱託社員、「その他(出向社員及び臨時労働者を含む)」)別にある属性を持つ労働者の割合の標準誤差が、正社員、派遣労働者、パートタイム労働者については概ね6.0%以内、契約社員、嘱託社員、その他については概ね6.3%以内になるように考慮して設定し、約56,000人とした。上記(2)イの抽出率は、約56,000人の回答を確保できると見込まれる抽出率として設定したもの。


調査事項
- (1)事業所調査
- ア 事業所の属性
- (ア) 事業所が属する企業規模、事業所の常用労働者数、事業所の形態
- (イ) 労働者派遣事業の有無、派遣労働者数
- (ウ) 労働者の区分、性、雇用期間の定めの有無別労働者数
- (エ) 就業形態、性別労働者数
- (オ) 請負労働者の有無、請負労働者数
- (カ) 物の製造を行っている請負労働者の有無及び請負労働者数
- イ 労働者比率等の変化
- (ア) 3年前と比較した正社員数の変化
- (イ) 3年前と比較した正社員以外の労働者比率の変化、比率が上昇した就業形態
- (ウ) 正社員以外の労働者比率の変化の予測、今後比率が上昇すると思われる就業形態
- ウ 正社員以外の労働者を活用する理由
- エ 正社員以外の労働者の活用上の問題点
- オ 就業形態別各種制度の適用状況
- (2)個人調査
- ア 個人の属性
- (ア) 性、年齢階級
- (イ) 最終学歴または現在の在学状況
- (ウ) 同居家族の有無及び同居家族の続柄、同居している子どもの人数及び末子の年齢階級
- (エ) 主な収入源
- イ 就業の実態
- (ア) 現在の就業形態及び在籍期間
- (イ) 雇用期間の定めの有無、1回当たりの雇用契約期間、雇用契約の変更希望の有無
- (ウ) 現在の職種
- (エ) 正社員以外の労働者の現在の就業形態を選択した理由
- (オ) 最終学校卒業後の就業形態、正社員及び出向社員以外の就業形態で働いた通算期間
- (カ) 今後の働き方、今後の就業形態に対する希望
- (キ) 正社員になりたい理由
- ウ 賃金等の実態
- (ア) 賃金額を算定する際の基礎となる給与形態
- (イ) 令和6年9月の賃金総額(賃金階級)
- (ウ) 平均的な1週間の実労働時間数(時間数階級)、実労働時間数に対する希望、希望する1週間の実労働時間数(時間数階級)
- エ 各種制度、満足度
- (ア) 現在の会社における各種制度の適用状況及び適用希望状況
- (イ) 現在の職場での満足度
- オ 令和6年9月の兼業の有無
調査の時期
令和6年10月1日現在の状況について、事業所調査は令和6年9月17日から10月18日までの間に、個人調査は令和6年10月21日から11月30日までの間に実施。
調査の方法
- (1) 調査系統
- ア 事業所調査
調査票の配布:厚生労働省−民間事業者−報告者
調査票の回収:報告者−厚生労働省 - イ 個人調査
調査票の配布:厚生労働省−民間事業者−事業所調査対象事業所−報告者
調査票の回収:報告者−厚生労働省 - (2) 調査手法
- ア 事業所調査
事業所票を厚生労働省が業務を委託した民間事業者から調査客体事業所に郵送し、調査客体事業所が厚生労働省に郵送又はオンラインで回答。 - イ 個人調査
厚生労働省が業務を委託した民間事業者が、回収した事業所票から調査客体となる労働者数を算出し、事業所調査の客体事業所に調査客体となる労働者の抽出と個人票の配布を依頼。調査客体労働者が厚生労働省に郵送又はオンラインで回答。
ホーム > 統計情報・白書 > 各種統計調査 > 厚生労働統計一覧 > 雇用の構造に関する実態調査(就業形態の多様化に関する総合実態調査) > 調査の概要

